2024南京千名博士招引周活动
即将启动
面向全球人才发出诚挚邀约
招聘博士岗位超3000个
以更大力度引进和集聚全球人才

城市因人才而精彩,人才因城市而出彩。南京市委人才办会同各部门、板块,联合在宁高校、科研院所、龙头企业等重点用人单位,共同举办“海”纳英才·博“揽”金陵——2024南京千名博士招引周活动。邀请全球博士和高层次人才来到南京,开启一场人才和城市双向奔赴的“南京之约”。


3000+优质博士岗位
诚意满满欢迎“宁”
本次活动坚持“优中选优”,对接邀请184家头部用人单位参加,首批面向全球招引博士超3000名,相关岗位正持续更新完善。
用人单位“有来头”
184家优质用人单位里,事业单位有64家、国企55家,事业单位、国企、上市公司占比69%,汇集南京大学、东南大学等“双一流”高校,中科院系和紫金山实验室等科研院所,鼓楼医院等市属医院以及南京银行、先声药业、中兴通讯等100多家产业链重点企业。
领域多样“有看头”
岗位涵盖生物医药、智能制造、集成电路、软件信息等领域以及相关分支领域,符合南京“4266”创新型产业体系,就业专业与主导产业高度融合,活动期间岗位将持续更新,为博士人才提供丰富就业选择。

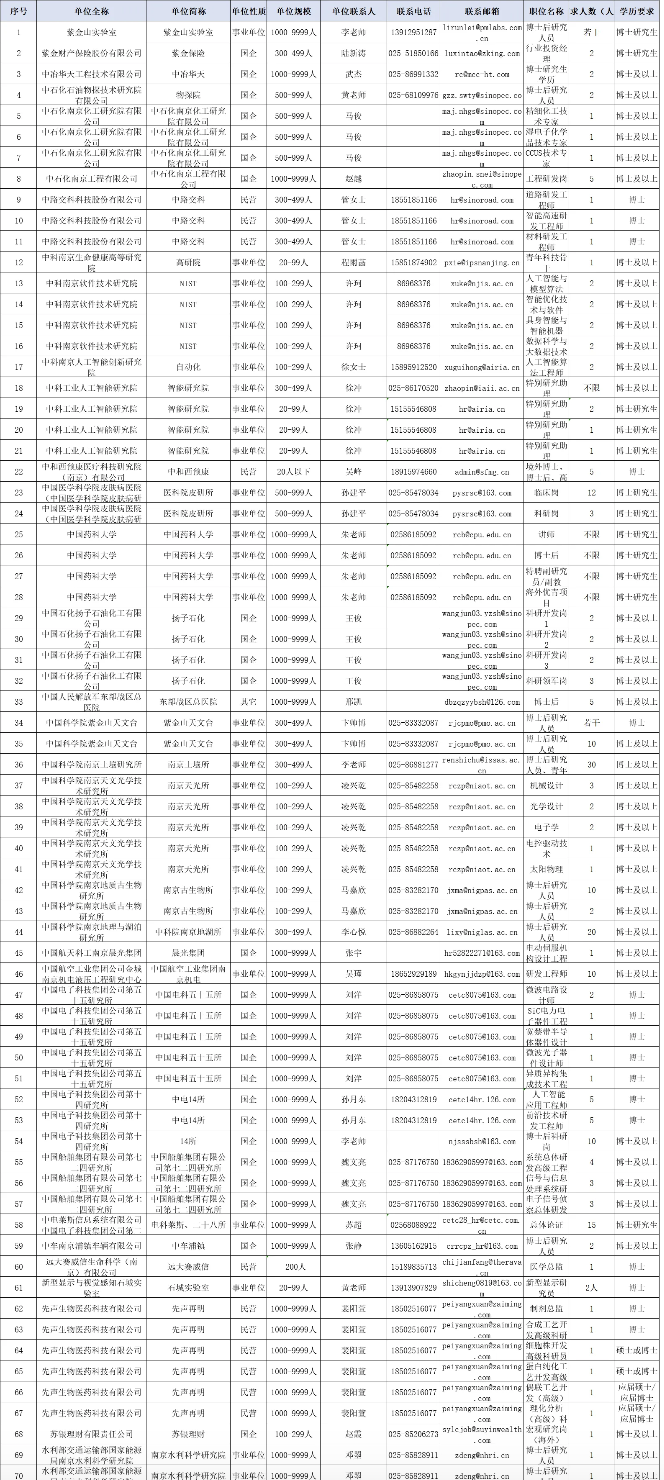
人才岗位信息节选
3000多个博士岗位平均月薪在3万元以上,年薪主要集中在30—50万之间,其中9家单位310个岗位年薪达百万以上。

25条感知南京体验线路
山水城林等“宁”来
南京有着求贤若渴、广聚英才的城市基因,开放包容、创新创造的城市气质,更有着宜居、宜业、宜游的城市生态。

活动期间,南京将紧扣重点产业方向,统筹创新平台、自然人文景点、生活服务配套等资源,精心打造博揽金陵25条产业专线体验活动,带领人才共同感受南京的历史文化底蕴、现代化建设成果和优越的自然生态。


丰厚城市体验礼包
贴心服务“宁”有礼
除了优质的岗位资源,南京还专门为参加活动的博士人才准备了丰厚的城市体验礼包。

在活动期间,南京明孝陵景区、灵谷寺景区、美龄宫等13家景区景点将免费为人才开放,让人才全面了解南京、融入南京。

如何参与本次活动?
在活动期间
人才可以扫描下方二维码
直达报名平台
查看更多招聘、专线游览和服务信息

如何参与本次活动?
在活动期间
人才可以扫描下方二维码
直达报名平台
查看更多招聘、专线游览和服务信息


如何应聘这些岗位?
人才登录网站后 点击首页“海纳英才”按钮 即可跳转招聘详情页面 进行在线填报
如何参与体验专线?
参与应聘简历投递后
进入产业线路专区
同时
人才还可以在网站首页
“青柠有礼”板块里
领取我们的服务礼包哦~
注意啦!
“
博揽金陵25条产业专线体验活动的
第一场将于12月19日正式开始
敬请期待!
”

一个人选择一座城,是信任
一座城遇到合适的人,是幸运
南京欢迎全球人才
走进南京、牵手南京、圆梦南京
